容积式流量计引起误差的原因
容积式流量计具有功能稳定、精确度高、量程宽、测量范围大等优点,因此广泛地用于工业的流量计量,并且作为贸易结算的计量器具。
容积式流量计的计量原理是利用机械测量的元件把液体连续地分隔成单位体积然后进行累加计算总量而实现流体的计量。
容积式流量计的工作过程如下:流体持续地充满固定容积的计量仪器,然后将这部分流体持续的通道出口。在一次测量的过程中,我们通过记录这个过程持续的次数,然后再乘以计量仪器的容积,就得到了流过的液体的总量。
液体容积式流量计的漏流
我们首先从容积式流量计的结构出发,由于该流量计的计量空间是机械装置组合而成的,每一个部件都是运动的,这就导致部件之间存在间隙。因此,就会导致漏流。
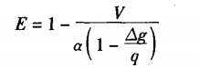
式中:E 一 流量计的误差; V——流量计的计量空间体积 ;
α一 流量计的齿轮比常数 ;
Δg一漏流量;q——检测时的流量 。
从公式可见,由于计量空间体积和齿轮比常数均为定值,所流量计的误差和流量之间的关系是受单位时间内漏流量的影响的。因此了解漏流量变化的原因对 提高液体容积式流量计检测准确度的是很有必要的 。
引起漏流量改变的因素
1、机械磨损引起的漏流
新的流量计在使用一段时间后,经过磨合,齿轮间隙适合,漏流量一般是很小的。但是流量计在使用一定的年限以后,齿轮由于磨损,导致齿轮间间隙增大,漏流量也就随之变大。因此,对于频繁使用的容积式流量计要经常进行检查,检查后对磨损比较严重的齿轮要进行更换,这样才能保证流量计正常工作。
2、温度对漏流量的影响
我们都知道,温度可以使物体热胀冷缩,同理,对于流量计,当温度上升的时候,流量计的齿轮间隙会变得更大,流量计的漏流量就会上升。另外,在考虑漏流量的时候,我们还应考虑到温度上升引起的计量空间的增大,以及流体介质受温度影响体积膨胀等因素。
3、压差对漏流量的影响
当流量计进出口之间的压差比较小的时候,齿轮转动的速度较低,这个时候的漏流量就比较大。当进出口的压力较大的时候,齿轮回转的力矩较大,转速很高,漏流量也会变大,这个时候的误差也较大。因此,正常工作的时候,应该讲出入口的压力控制在合适的波动范围里,容积式流量计的漏流量才能保持在最小。
4、流体的粘度对漏流量的影响
流体的粘度发生改变的时候,漏流量也会发生显著的改变,粘度变大的时候,漏流量减小,粘度减小的时候,漏流量则会相应的变大。因此,JJG667也规定了检测用的流体和实际使用的流体的粘度应该一致。如果使用其他的流体进行检测,则应该注意我们使用的流体的误差不能超过该流量计误差限的0.3.
现在使用的液体流量检测装置一般都是使用水来检测,但是液体容积式流量计一般都是用在石油行业中,油和水的密度相差甚大,这就导致由于水的粘度较低使得漏流量会变大,流量计计量的误差负偏。这个时候我们就必须对粘度进行修正后在使用。我们可以使用下面的公式进行修正。
E=E2+(E1-E2)×μ1×(μ-μ2)/[μ×(μ1- μ2)]
式中:E为流量计实际使用的时候的误差;
E1为流量计大于实际粘度检测所得的误差;
E2为流量计小于实际粘度检测所得的误差;
μ为实际使用的流体粘度,mPa•s;
μ1为大于实际粘度的检测流体的粘度,mPa•s;
μ2为小于实际粘度的检测流体的粘度,mPa•s。
上式是在粘度和容积式流量计漏流量的关系成反比例的基础上推导出来的,从这个式子我们发现,在检测的过程中必须用到多种不同粘度的流体,这对于一般的检测机构来说有些困难。因此,现在解决这个问题的最好的办法就是现场提取流体进行检测,这样的话就能够最大程度的使检查流体和实际流体粘度一致,从而使漏流量的结果更加精确。
漏流量引起的误差的计算
上面我们分开讨论了各种因素对漏流量的影响,现在我们将这些因素结合起来讨论。
我们知道,漏流量的形成是由于间隙引起的,间隙中的流动我们可以看成是平面间的流动。因此我们可以假设,间隙的宽度为a,流动方向的长度是L,部件的厚度是H,前后端得压力差为 Δp,流体的粘度为u。
于是,我们可以根据已知条件得出漏流量的方程为 q=C*a*a*a*b* Δp /L/u。从这个式子我们可以看出,漏流量的大小间隙宽度的立方成正比,和压力差成反比。
因此,漏流量的大小随间隙的变大而变大。另外,当流量越大的时候,部件前后损失的压力就越大,漏流量也就越大。基本误差公式如下:
式中,qv为经过流量计的流量;
qs为单位时间内的漏流量;
V为体积为V的流体经过容积式流量计的时候,从间隙中漏出的流体的体积;
a为齿轮比;
从上式我们可以看出,齿轮比和计量室的基本容积是不变的。流量计的误差主要受漏流量的影响。
压力差和粘度是影响单位时间内的漏流量的主要因素。液体容积式流量计的工作原理是利用运动部件的重复运动来计量流体的体积的。在这个过程当中,产生机械的摩擦力阻力。当流体流过流量计的时候,还会产生由于粘滞力引起的流动阻力,因此,为了保证流量计的正常的运转,流量计的进出口必须有一定的压力差,压力差使得流体克服摩擦阻力和流动阻力。这儿所说的压力差,指的就是压力损失。
差压补偿法提高容积式流量计测量精度
我们根据流体力学中泄漏的流量取决于压差的基本原理,提出了一种差压补偿的测量方法,即根据容积式流量计人口与出口的压差来控制流量计转子的转速,进而控制流量测量值,使流量计转子转速紧随压差的变化自动调节。根据 这一思想,不需要提高容积式流量计的制造精度,也可以达到很高的测量精度,从而为探讨容积式流量计的测量精度提供了思路 。
1、差压补偿测量法的工作原理
对于容积式流量计,通过它的流量一般用转子的转速表示,但是由于泄漏的存在,转子转速并不严格对应实际流量。由流体力学原理知泄漏量 q 与流量计人 口和出口的压差Δp的关系为:
式中 κ, m——与流量计结构有关的参数
A—— 间隙截面面积
只要控制流量计两端的压差Δp,就可控制泄漏量q,进而控制检测精度,工作原理如图所示 。
2、测量系统的设计
系统实现对流量计转子转速的实时控制,通过传感器检测出压差Δ p,经转换放 大后送人单片机分析处理,然后驱动控制电机带动流量计转子转动,使其转速达到与实际流量相匹配的值。系统主要组成可分为:压差检测 、信号采集与转 换、信号分析与处理及控制电机的驱动,如图所示 。
(1)压差检测
压差检测模块包括压差传感器和抗干扰转换电路,功能是将流量计入口与出口的压差ΔΡ转换为模拟电压信号。首先采用电容式压差传感器将压差ΔΡ转换为 电容信号,电容式压差传感器具有结构简单、小型轻量 、精度高和互换性强等优点,其工作原理是将压差的变化转换为电容极板相对位置的变化,从而改变电容量或容抗量;抗干扰转换电路将电容量或容抗量的变化转换为标准的电压信号,滤除干扰,从而达到非电量电测的目的。
液体流量变化的复杂性给压差检测提出了较高的要求,其输出模拟电压信号能 否实时准确的反映压差的变化是检测的关键 。在精确测量中,压差ΔΡ是时变的微小信号,易被各种干扰淹没,必须提高信噪比,故电容转换成电压的电路需要进行抗干扰设计。平衡电路能够很好地抑制共模,经导线传导耦合到电路的噪声干扰可加滤波器消除。压差检测电路的设计将影响到整个系统的精度 。
(2)信号采集与转换
采用电压放大电路和 A/D转换电路,将模拟电压信号放大并转换成可被单片机 接收的数字信号 。
(3)信号的分析与处理
由单片机来分析信号,实施合适的控制策略 。
由于压差ΔΡ控制系统的非线性 、时变不确定性和纯滞后性,故很难获得系统的精确数学模型,采用模糊PID控制是较为理想的选择。模糊PID控制将模糊决策理论和 PID控制结合起来,发挥两者的优点,这种 Fuzzy — PID复合型控制器, 将实践积累的经验知识用控制规则模型化,然后运用推理便可对PID参数实现最佳调整,对复杂控制系统具有良好的控制效果 。其中,模糊控制规则确 定的原则是必须保证控制器的输出能够使系统输出响应动 、静态的性能达到最佳,是控制性能实现的关键 。
模糊控制器的结构如图所示 。
(4)控制电机的驱动
单片机发出的控制信号驱动控制电机,调整转子转速 ,使之与流量的实际值匹配。采用步进电机作为控制电机,因为步进电机可以接受数字信号,但不能直接接受 A/D转换器输出的脉冲, 必须使用专用的驱动设计——步进电机驱动 器,步进电机和驱动器构成了一个有机整体,其运行性能取决于两者的密切配合 。
根据流量计结构和测量误差,结合传感器技术和控制原理,提出用差压补偿法进行容积式流量计流量的测量,该方法不需改变原来流量计的结 构,简单易行, 通用性强,测量精度高,可广泛应用到各种要求较高的流量测量中。
同类文章排行
- 流量计的参数设置方法
- 智能流量定量控制仪不准了怎么调
- 各种压力表的优点和缺点
- 污水处理水解酸化池调试中的污水流量计
- 液位计故障排查解决办法_液位计故障解决方法
- 电磁流量计和涡轮流量计的区别
- 涡街流量计测量不准确怎么调整?
- 污水流量计量表为什么不准确?
- 测量天然气流量计的比较
- 涡街流量计安装的方法
- 热式气体质量流量计如何选着?
- 涡街流量计的优点和缺点
- 一招解决仪表故障,请学会这些内容!
- 流量计算相关公式
- 流量计应该怎么去选着?
- 电磁流量计应该如何避免雷击
- 电磁流量计的安装方法
- 流量计优缺点—孔板流量计优点缺点介绍
- 碱性液体用什么流量计计量?
- 王健林又悄悄卖了几家万达广场!保险、信托接
最新资讯文章
- 全球的天燃气流量计的市场
- 污水处理水解酸化池调试中的污水流量计
- 几种污水流量计的优缺点?
- 污水流量计量表为什么不准确?
- 涡街流量计测量不准确怎么调整?
- 热式气体质量流量计怎么安装?
- 热式气体质量流量计如何选着?
- 热式质量流量计工作原理
- 自来水用什么流量计
- 测水流量的流量计
- 测量天然气流量计的比较
- 旋进旋涡流量计生产厂家
- 碱性液体用什么流量计计量?
- 智能流量定量控制仪不准了怎么调
- 孔板流量计的安装要求
- 孔板流量计老是测量不准确是怎么回事呀?
- 什么是旋进旋涡流量计?
- 流量计的参数设置方法
- 电磁流量计的安装方法
- 柴油流量计量表
- 汽油流量计量表
- 流量计应该怎么去选着?
- 气体涡轮流量计的特点
- 气体涡轮流量计怎么选型
- 测量蒸汽流量不准确是怎么回事
- 污水处理会用到哪些流量计
- 煤气应该用什么计量他的量
- 天燃气应该用什么来计量流量
- 污水流量计应该怎么选型
- 蒸汽计量表测量不准确的原因
- 气体流量计的一些特点和性能
- 蒸汽计量表常见问题的解决方法
- 用差压式流量计测量蒸汽可以不可以?
- 锅炉蒸汽的工作原理和计算
- 怎么控制用水流量?
- 涡街流量计安装的方法
- 涡街流量计温压补偿的作用是什么?
- 什么是流量计?
- 流量计应该如何选型?
- 涡轮流量计要如何维护和保养
- 涡轮流量计故障解决方法
- 涡街流量计的选型
- 仪器仪表现成调试方法
- 怎么样能提高孔板流量计的使用精度
- 超声波流量计和孔板流量计有什么区别?
- 孔板流量计测量不准确解决办法
- 涡街流量计测量不准确是怎么回事
- 涡街流量计出现故障解决的方法
- 涡街流量计的优点和缺点
- 天燃气用什么流量计计量比较好?






